pinjaman peribadi agro bank 2018
Pembiayaan Peribadi Agrocash I Hlavni Stranka Facebook
Agrobank Pembiayaan Peribadi Agrocash I Photos Facebook
Jadual Pinjaman Peribadi Agro Bank 2019 Ocspaab
Jadual Pinjaman Peribadi Agro Bank 2019 Ocspaab
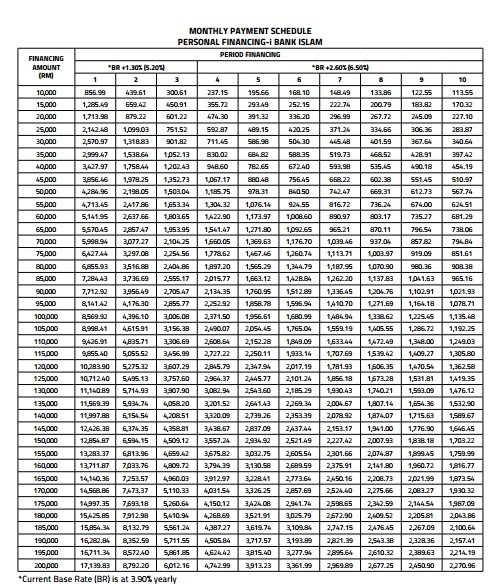
Bank Muamalat Personal Loan Best Sale 53 Off Www Ingeniovirtual Com
Bank Muamalat Personal Loan Best Sale 53 Off Www Ingeniovirtual Com
Bank Muamalat Personal Loan Best Sale 53 Off Www Ingeniovirtual Com
Pinjaman Agrocash I Agrobank Pinjaman Peribadi Di Bank
Affin Bank Personal Loan Cheap Sale 53 Off Www Ingeniovirtual Com
Jadual Pinjaman Peribadi Agro Bank 2018 Tannerctxz
Kadar Rata Pembiayaan Peribadi Kerajaan Agrobank Selatan Facebook
Pinjaman Peribadi Agrocash I Dari Agrobank Eratuku
Pembiayaan Peribadi Agrocash I Home Facebook
Agrobank Pembiayaan Peribadi Agrocash I Photos Facebook
Pinjaman Peribadi Bank Islam Pinjaman Peribadi Di Bank
Pinjaman Peribadi Agro Bank 2021 2022
Anda Kakitangan Kerajaan Persekutuan Kakitangan Kerajaan Negeri Pihak Berkuasa Tempatan Ipta Agensi Agensi Badan Berkanun Glc Terpilih Sekiranya Anda Tergolong Dalam Kumpulan Tersebut Anda Layak Untuk Memohon Pembiayaan No 1 Pembiayaan Peribadi
Jadual Pinjaman Peribadi Agro Bank 2018 Tannerctxz
Agrobank Semai Ilmu Transaksi Tanpa Tunai Dalam Kalangan Pelajar

No comments for "pinjaman peribadi agro bank 2018"
Post a Comment